 |
|
|
| |
|
|
KAJ JE VETRNA ELEKTRARNA?
FIZIKALNE OSNOVE VETRNE ELEKTRATNE
Obvestilo: Posodobljen članek je na spletni povezavi Vetrna elektrarna .
Kaj je vetrna elektrarna?
Vetrna elektrarna je energetski sistem, ki pretvarja kinetično energijo vetra v električno energijo. Je vir obnovljive in ekološko čiste energije. Kinetična energija vetra se na rotorju vetrnice pretvarja v rotacijsko kinetično energijo vetrnice, ta pa s pomočjo generatorja v električno energijo. Če uporabimo enosmerni električni generator, dobimo na izhodu enosmerno napetost, ki je proporcionalna hitrosti vrtenja vetrnice. Dodamo pretvornik enosmerne napetosti v izmenično napetost 50 Hz in ga v primeru oddaje energije v omrežje fazno sinhroniziramo na omrežje.
Namenjene so lahko majhnim energetskim sistemom izven omrežja ali v omrežju. Velikost lopatic je v tem primeru majhna - običajno 1,3 m do 4,5 m. Nazivna moč majhne elektrarne je od 1 kW do 100 kW. Vetrnica je običajno vezana neposredno na enosmerni generator - alternator. Z enosmerno napetostjo lahko polnimo akumulator ali pa jo pretvorimo v izmenično napetost in sinhroniziramo z omrežjem. Največji vetrni sistemi so plantaže vetrnic, kjer ima posamezna vetrnica velikost lopatic tudi do 36 m ter nazivno moč 1,5 MW. Stolpi so visoki tudi 80 m. |
|
|
|
|
INŠTRUKCIJE
FIZIKE |
|
|
|
| SVETILA |
|
| SONČNA ELEKTRARNA |
|
|
|
| TOPLOTNA ČRPALKA |
|
|
|
| |
|
Fizikalne osnove vetrne elektrarne Kinetična energija vetra, ki ga zajame vetrnica je odvisna od gostote zraka, površine vetrnice in tretje potence hitrosti vetra. Kinetično energijo in moč vetra izpeljemo iz znanih enačb: |
|

|
|
 |
|
Izračunati moramo še gostoto zraka. Spreminja se s tlakom in temperaturo. Izračunamo jo s pomočjo plinske enačbe: |
|
 |
|
 |
|
| Zelena energija iz vetrne elektrarne |
|
PRIMER
Za primer vzemimo majhno vetrnico z velikostjo lopatice r = 1,3 m in površino v smeri vetra 5,3 kvadratnega metra. Narišimo graf moči vetra v odvisnosti od hitrosti vetra. Moč narašča s tretjo potenco hitrosti vetra in znaša 88 W pri hitrosti vetra 3 m/s do 35 kW pri hitrosti vetra 22 m/s.
S pomočjo vrtenja lopatice okoli vzdolžne osi lahko spreminjamo moč, ki jo sprejema turbina od vetra. Največjo moč ima elektrarna pri hitrosti vetra približno 13 m/s. Z vrtenjem lopatic okoli vzdolžne osi (manjšanjem izkoristka pretvorbe) se ta moč vzdržuje do hitrosti vetra približno 22 m/s. Pri večji hitrosti vetra vetrnico izklopimo in s tem preprečimo njeno preobremenitev in poškodbo. |
|
|
|
 |
|
IZKORISTEK VETRNICE
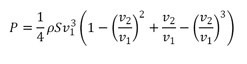
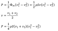
Energija, ki jo prejme vetrnica od vetra je enaka razliki med kinetično energijo vetra pred vetrnico in za vetrnico. Vetrnica ne more delovati s 100 % izkoristkom. V tem primeru bi bila hitrost vetra za vetrnico enaka nič - vetrnica bi se obnašala kot stena, ki odbija veter. Veter bi obšel vetrnico. Albert Betz je leta 1919 postavil zgornjo mejo izkoristka vetrnice, ki znaša 59%
(Betzova enačba ).
Betz pri izpeljavi idealnega izkoristka vetrne turbine upošteva:
- Vetrnica je tanka in ima neskončno lopatic
- Masni tok skozi vernico je kontanten
- Ni izmenjave toplote med vetrom in vetrnico
Masni tok pred vetrnico je enak masnemu toku skozi vetrnico in za vetrnico:
Moč, ki jo odvzema vetrnica je enaka:
Brez dokaza smo upoštevali, da je hitrost vetra na vetrnici v enaka srednji hitrosti vetra pred in za vetrnico. Dobimo:

Razmerje hitrosti vetra za maksimalno moč vetrnice dobimo z odvajanjem zgornje enačbe:

Končni rezultat je:

V praksi dobimo izkoristek vetrnice okoli 30%.
|
|
| Moč vetra pri površini 5,3 kvadratnega metra v odvisnosti od hitrosti vetra. |
|
|
|
|
|
| |
|
Kaj pa cena?
Cenovno so bolj ekonomični veliki sistemi za proizvodnjo energije iz vetra, vendar so v ekološkem smislu zanimivi tudi sistemi majhne moči. Cene se gibljejo med 1800 € in 3700 €/kW za velike sisteme in med 3700 € in 5000 €/kW za majhne sisteme.
Pri računanju pričakovane proizvodnje energije in časa vračanja investicije moramo imeti natančne podatke za hitrost vetra na področju, kjer želimo zgraditi elektrarno. Pri tem ni dovolj, da poznamo samo srednjo vrednost hitrosti vetra, pač pa moramo poznati tudi njeno statistična porazdelitev. |
|
|
|
|
|
|
|
|
|
|
|
|
| |
|
|
|
|
|
|
|
|
|
|
|
 |
 |
 |
 |
 |
 |
 |
 |
 |
 |
 |
 |